Querido diario:
en esta clase hemos aprendido cómo son las operaciones con derivadas.
SUMA
Si tengo f, g derivables entonces f+g es derivable (demostración):
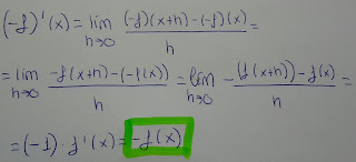
FUNCIÓN DERIVADA DE LA FUNCIÓN OPUESTA
RESTA
Si f, g son derivables entonces la resta es derivable y será la resta de las derivadas (demostración):
PRODUCTO
Si f, g son derivables entonces el producto es derivable. La derivada del producto es la derivada de la primera por la segunda más la primera por la derivada de la segunda:




No hay comentarios:
Publicar un comentario